De la trignométrie en or

 , c'est-à-dire   

 

Le polynome X5 – 1 a pour racines les racines 5èmes de l'unité, c'est-à-dire les nombres pour k = 0, 1, 2, 3 et 4 ou bien k = 0, 1, -1, 2 et -2.

On a donc
Mais on a aussi
D'où l'égalité :
 
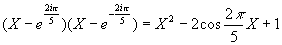
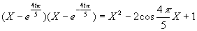
En posant   et  
en développant et en identifiant les coefficients des polynômes dans l'égalité obtenue précédemment, on obtient les conditions a + b = 1 et ab = -1 .

a et b sont donc solutions de l'équation qui a pour solutions et .


D'autre part, on obtient en développant

et

donc et
On obtient alors : et

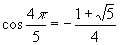
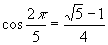
On cherche maintenant la valeur de .

On utilise     et on obtient     d'où    .

Or,   , donc  .


Finalement, on trouve


c'est-à-dire